
No todos los días se encuentra un alótropo de algún elemento, no todos los días alguien tiene la oportunidad de explicarte qué es un alótropo, pero vamos, tenemos uno nuevo que se ha buscado por mucho tiempo así que aprovecharemos para explicarlo.
En química, los alótropos son diferentes formas estructurales de un mismo elemento químico que poseen distintas propiedades físicas y químicas. Estas variaciones se deben a la diferente disposición de los átomos del elemento en la estructura molecular. Ejemplo simple O2 es el oxígeno que respiramos y O3 es el Ozono.
Bueno, el nitrógeno, que conforma el 75% de nuestra atmósfera y lo respiramos todo el tiempo, suele venir en su envase más estable y común, N2, ahora bien ¿Qué tal si logramos unirlo de otra forma?
En el paper "Preparation of a neutral nitrogen allotrope hexanitrogen C2h-N6" podemos conocer la respuesta de cómo han conseguido uno de estos alótropos, el N6, seis átomos de nitrógeno unidos entre sí.
¿Por qué es relevante? Pues hay muchas cosas interesantes aquí, ya el haber conseguido una molécula estable (por unos milisegundos a temperatura ambiente) que no sea N2 es glorioso y merecedor de un Nóbel.
Pero esta es mucho más interesante, tiene toda la pinta de ser el combustible para cohetes del futuro, ya que cuando el N6 se vuelve inestable se liberan tres moléculas de N2 es una gran descompresión y mucha, mucha energía. ¿Lo mejor? No hablamos de combustión, ni de residuos, lo que sale de esta reacción es el mismo N2 que ya tenemos en la atmósfera.
Josh Bloom explica en un excelente posteos las virtudes de un "combustible" que no necesita combustionar, es casi como aire comprimido, contiene encerrada en su estructura molecular 2.2 veces la potencia del TNT sin necesidad de mezclarse con nada para reaccionar y explotar.
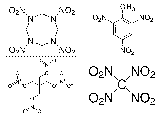
Josh es alguien que sabe de cosas explosivas como en este otro artículo "Why Stuff Explodes" y lo interesante es la comparativa que hace con otros "nitrógenos" ya que solemos ver sus moléculas íntimamente relacionada con distintos explosivos:


Estos cuatro compuestos son de lo más explosivo que hay y cuanto más potentes y concentrados están, más inestables, el N6 es la forma más compacta de nitrógeno posible, superando a todos estos, y sin embargo parece mucho más estable y menos peligroso (por el momento).
Tim Wogan escribió también sobre este descubrimiento, el hexanitrógeno, los químicos de la Justus Liebig University Giessen que acreditan este avance son
Weiyu Qian, Artur Mardyukov y Peter Schreiner, y en su análisis se detalla lo que fue el trabajo sin tener que leerse el paper completo.

Es muy interesante porque se explica el procedimiento para obtenerlo que incluye gas clorin y azida de plata, uno conocido por matar gente en las trincheras y el otro tan inestable que con un estornudo mataría a todos, pero del resultado de semejante mezcla se obtiene el N6.
La molécula tiene un talón de aquiles más débil y eso hace que, a temperatura ambiente, dure apenas 36 milisegundos, tiempo suficiente para ser confinada y enfriada en nitrógeno líquido, ambiente en que los científicos consideran que puede ser confinada durante 100 años.

Cuando el hexanitrógeno se desarma emite el doble de energía por unidad de masa que el explosivo HMX.
Y este es el posible uso futuro, ya de por sí encontrar un alótropo es un hallazgo fenomenal, que encima pueda usarse es glorioso.
Esta rápida expansión y liberación de energía lo hace perfecto como combustible para cohetes, donde el mayor problema que tienen los sistemas de lanzamiento actuales están en concentrar la energía, hacerlo sin contaminar y, especialmente, sin corrosión.
Por ejemplo, el hidrógeno es una porquería a la hora de ocupar espacio, no se pude concentrar más allá de su licuefacción, en cambio los hidrocarburos tienen mayor densidad ¿Los mejores? Los hipergólicos, una combinación de dos compuestos excesivamente corrosivos y volátiles, tan peligrosos en la tobera del motor como si uno los toca, te vas a quemar de todos modos.
El nitrógeno líquido es fácil de mantener en ese estado con la tecnología actual, se usa para enfriar de todo, así que mantener N6 es igual de trivial. ¿Se podrá usar en el futuro? ¿Se podrá fabricar en masa? Todavía eso no es importante, ya veremos, lo relevante es que se logró este avance.